Avicel
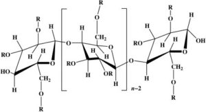
Mikrokristalline Cellulose (MCC) ist ein Begriff für aufbereitete Holzfaser und wird als Texturgeber, Rieselhilfsmittel, Fettersatz, Emulgator, Füllstoff und Volumenmittel in der Lebensmittelproduktion verwendet. Die gebräuchlichste Form wird in Vitaminpräparaten oder Tabletten eingesetzt. Sie wird außerdem in Plaque‑Assays zur Virusquantifizierung verwendet, als Alternative zu Carboxymethylcellulose.
Avicel® mikrokristalline Cellulose (MCC) ist ein gereinigtes, teilweise depolymerisiertes Alphacellulose‑Hilfsstoffmaterial, das durch Säurehydrolyse von Spezialholzpulpe hergestellt wird.
Tween
Polysorbate sind eine Klasse von Emulgatoren, die in einigen pharmazeutischen Produkten und in der Lebensmittelherstellung verwendet werden. Sie werden häufig in Kosmetika eingesetzt, um ätherische Öle in wasserbasierten Produkten zu solubilisieren. Polysorbate sind ölige Flüssigkeiten, die aus ethoxyliertem Sorbitan (einem Derivat von Sorbitol) hergestellt und mit Fettsäuren verestert werden.

Polyvidon
Polyvinylpyrrolidon (PVP), auch als Polyvidon oder Povidon bezeichnet, ist ein wasserlösliches Polymer, das aus dem Monomer N‑Vinylpyrrolidon hergestellt wird.

Propylenglykol
Propylenglykol ist eine synthetische flüssige Substanz, die Wasser absorbiert. Propylenglykol wird außerdem zur Herstellung von Polyesterverbindungen und als Basis für Enteisungslösungen verwendet. In der chemischen, Lebensmittel‑ und pharmazeutischen Industrie dient Propylenglykol als Frostschutzmittel, insbesondere dort, wo ein Austreten zu Kontakt mit Lebensmitteln führen könnte.
Die US‑amerikanische Food and Drug Administration (FDA) stuft Propylenglykol als Zusatzstoff ein, der „allgemein als sicher anerkannt“ ist (GRAS) und in Lebensmitteln verwendet werden darf. Es wird eingesetzt, um überschüssiges Wasser zu binden und die Feuchtigkeit in bestimmten Arzneimitteln, Kosmetika oder Lebensmitteln zu erhalten. Außerdem dient es als Lösungsmittel für Lebensmittelfarben und ‑aromen sowie in der Farben‑ und Kunststoffindustrie.
Propylenglykol wird auch zur Erzeugung von künstlichem Rauch oder Nebel verwendet, etwa bei Feuerwehr‑Trainings oder in Theaterproduktionen. Weitere Bezeichnungen für Propylenglykol sind 1,2‑Dihydroxypropan, 1,2‑Propandiol, Methylglykol und Trimethylglykol.
Propylenglykol ist bei Raumtemperatur eine klare, farblose, leicht sirupartige Flüssigkeit. Es kann in der Luft in Dampfform vorkommen, wobei es jedoch erhitzt oder kräftig geschüttelt werden muss, um Dampf zu erzeugen. Propylenglykol ist nahezu geruchlos und geschmacklos.

HPMC
Hydroxypropylmethylcellulose (HPMC) ist ein natürliches Polymer, das als Rohstoff dient und durch eine Reihe chemischer Prozesse zu einer nichtionischen Cellulose verarbeitet wird. Sie besitzt nahezu alle Eigenschaften von Methylcellulose (MC) und ist daher eine bevorzugte Wahl für die Herstellung hochwertiger Zusatzstoffe für Baustoffe.
Um den Anforderungen des Umweltschutzes gerecht zu werden, zeichnet sich unser Produkt durch hohe Wasserhaltefähigkeit, gute Dispergierbarkeit, feine Partikelstruktur, gute Verarbeitbarkeit und einfache Löslichkeit aus.
Es eignet sich für Trockenmörtel‑Anwendungen, Innen‑ und Außenwand‑Spachtelmassen, Klebstoffe, Dichtmassen, Haftvermittler, Beschichtungen sowie selbstnivellierende Materialien für moderne Baustoffsysteme.

Trehalose‑Dihydrat
Trehalose ist ein Zucker, der aus zwei Glukosemolekülen besteht. Er ist auch unter den Namen Mykose oder Tremalose bekannt. Einige Bakterien, Pilze, Pflanzen und wirbellose Tiere synthetisieren Trehalose als Energiequelle und um Gefrieren sowie Wassermangel zu überleben.

